Официальное опубликование правовых актов
ОФИЦИАЛЬНОЕ ОПУБЛИКОВАНИЕ
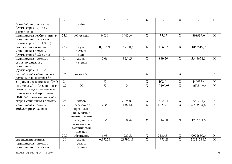
Постановление Правительства Ростовской области от 14.12.2016 № 841
"О территориальной программе государственных гарантий бесплатного оказания гражданам медицинской помощи в Ростовской области на 2017 год и на плановый период 2018 и 2019 годов"
Номер опубликования: 6100201612190021
Дата опубликования: 19.12.2016
Страница №33 из 118:
Увеличить