Официальное опубликование правовых актов
ОФИЦИАЛЬНОЕ ОПУБЛИКОВАНИЕ
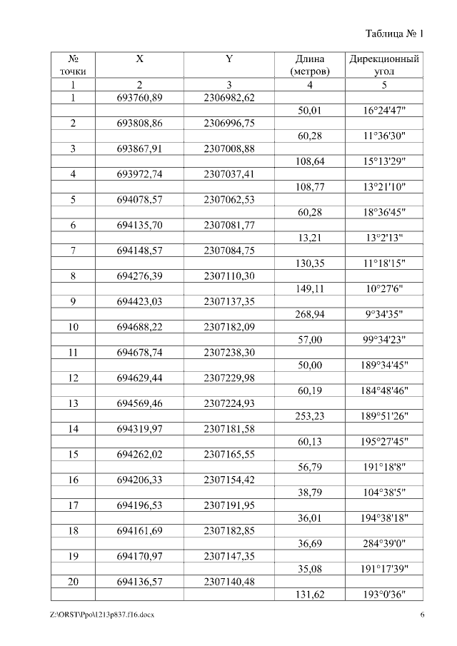
Постановление Правительства Ростовской области от 13.12.2016 № 837
"Об утверждении основной части проекта планировки и проекта межевания территории размещения автомобильной дороги общего пользования регионального значения магистраль "Дон" – ст. Мешковская – ст. Казанская на участке км 51 + 100 – км 52 + 100 в Верхнедонском районе"
Номер опубликования: 6100201612190002
Дата опубликования: 19.12.2016
Страница №6 из 26:
Увеличить