Официальное опубликование правовых актов
ОФИЦИАЛЬНОЕ ОПУБЛИКОВАНИЕ
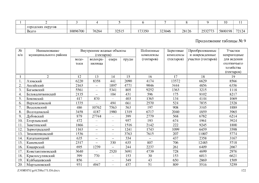
Указ Губернатора Ростовской области от 08.12.2016 № 171
"Об утверждении схемы размещения, использования и охраны охотничьих угодий на территории Ростовской области"
Номер опубликования: 6100201612140017
Дата опубликования: 14.12.2016
Страница №122 из 540:
Увеличить