Официальное опубликование правовых актов
ОФИЦИАЛЬНОЕ ОПУБЛИКОВАНИЕ
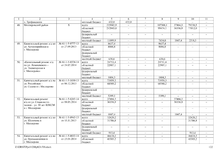
Постановление Правительства Ростовской области от 08.12.2016 № 824
"О внесении изменений в постановление Правительства Ростовской области от 25.09.2013 № 590"
Номер опубликования: 6100201612140014
Дата опубликования: 14.12.2016
Страница №122 из 190:
Увеличить