Официальное опубликование правовых актов
ОФИЦИАЛЬНОЕ ОПУБЛИКОВАНИЕ
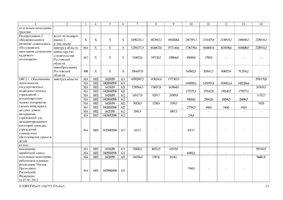
Постановление Правительства Ростовской области от 24.11.2016 № 793
"О внесении изменений в постановление Правительства Ростовской области от 25.09.2013 № 597"
Номер опубликования: 6100201612010004
Дата опубликования: 01.12.2016
Страница №23 из 98:
Увеличить