Официальное опубликование правовых актов
ОФИЦИАЛЬНОЕ ОПУБЛИКОВАНИЕ
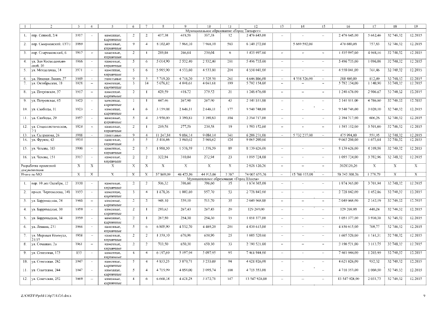
Постановление Правительства Ростовской области от 16.11.2016 № 774
"О внесении изменений в постановление Правительства Ростовской области от 29.12.2014 № 894"
Номер опубликования: 6100201611210005
Дата опубликования: 21.11.2016
Страница №9 из 20:
Увеличить