Официальное опубликование правовых актов
ОФИЦИАЛЬНОЕ ОПУБЛИКОВАНИЕ
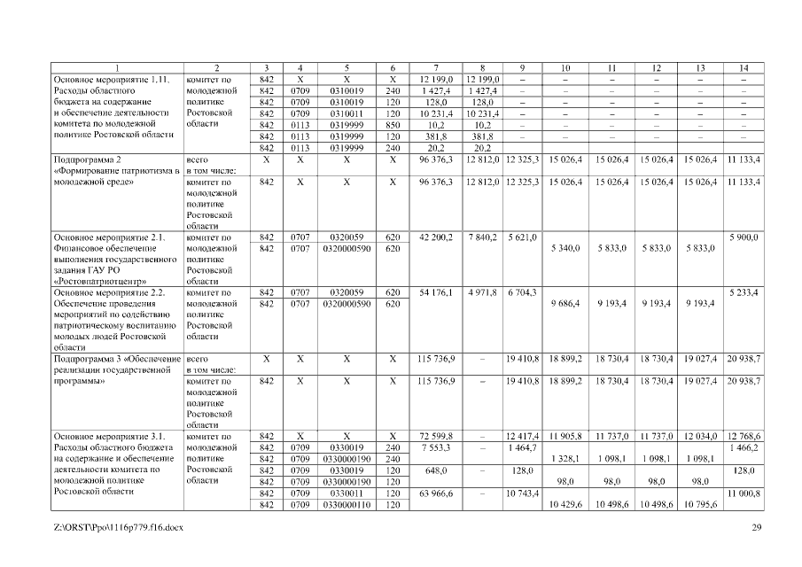
Постановление Правительства Ростовской области от 16.11.2016 № 779
"О внесении изменений в постановление Правительства Ростовской области от 25.09.2013 № 588"
Номер опубликования: 6100201611210004
Дата опубликования: 21.11.2016
Страница №29 из 35:
Увеличить