Официальное опубликование правовых актов
ОФИЦИАЛЬНОЕ ОПУБЛИКОВАНИЕ
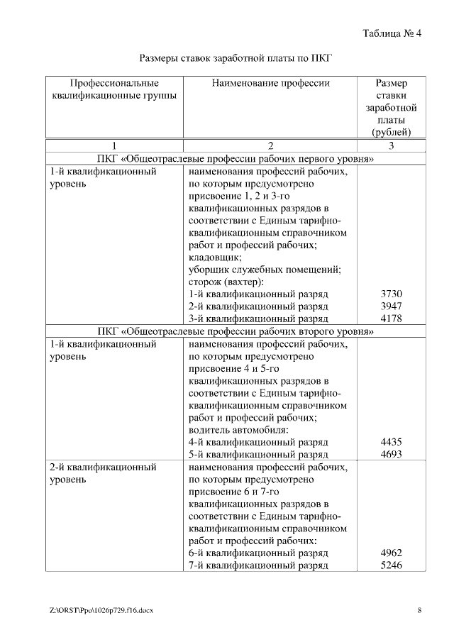
Постановление Правительства Ростовской области от 26.10.2016 № 729
"Об оплате труда работников государственных казенных учреждений, подведомственных департаменту по предупреждению и ликвидации чрезвычайных ситуаций Ростовской области"
Номер опубликования: 6100201611010012
Дата опубликования: 01.11.2016
Страница №8 из 21:
Увеличить