Официальное опубликование правовых актов
ОФИЦИАЛЬНОЕ ОПУБЛИКОВАНИЕ
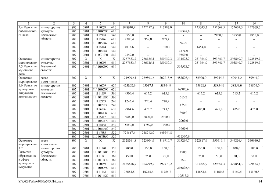
Постановление Правительства Ростовской области от 06.10.2016 № 673
"О внесении изменений в постановление Правительства Ростовской области от 25.09.2013 № 587"
Номер опубликования: 6100201610110003
Дата опубликования: 11.10.2016
Страница №14 из 37:
Увеличить