Официальное опубликование правовых актов
ОФИЦИАЛЬНОЕ ОПУБЛИКОВАНИЕ
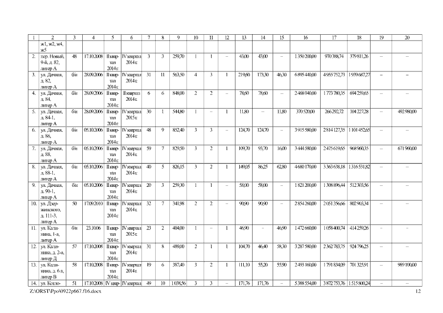
Постановление Правительства Ростовской области от 22.09.2016 № 667
"О внесении изменений в постановление Правительства Ростовской области от 15.03.2012 № 184"
Номер опубликования: 6100201609260004
Дата опубликования: 26.09.2016
Страница №12 из 31:
Увеличить