Официальное опубликование правовых актов
ОФИЦИАЛЬНОЕ ОПУБЛИКОВАНИЕ
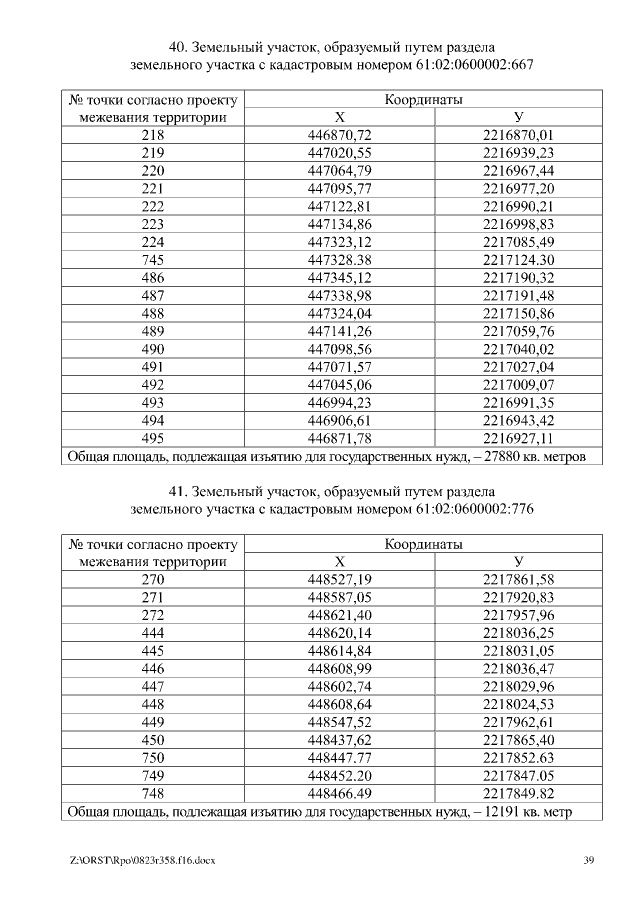
Распоряжение Правительства Ростовской области от 23.08.2016 № 358
"Об изъятии земельных участков для государственных нужд Ростовской области"
Номер опубликования: 6100201608260001
Дата опубликования: 26.08.2016
Страница №39 из 40:
Увеличить