Официальное опубликование правовых актов
ОФИЦИАЛЬНОЕ ОПУБЛИКОВАНИЕ
Постановление Правительства Ростовской области от 17.08.2016 № 592
"О внесении изменений в постановление Правительства Ростовской области от 25.09.2013 № 590"
Номер опубликования: 6100201608220005
Дата опубликования: 22.08.2016
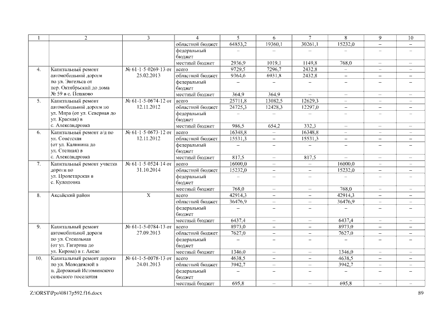
Страница №89 из 148:
Увеличить