Официальное опубликование правовых актов
ОФИЦИАЛЬНОЕ ОПУБЛИКОВАНИЕ
Постановление Правительства Ростовской области от 20.07.2016 № 499
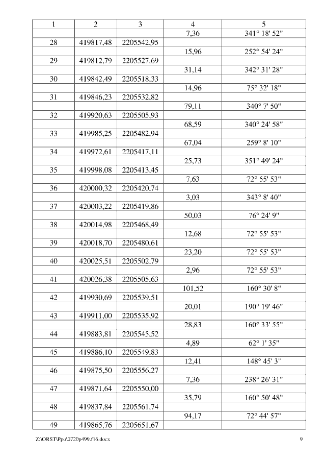
"Об утверждении основной части проекта планировки территории левобережной зоны г. Ростова-на-Дону в целях реализации мероприятия "Инженерная подготовка участка строительства футбольного стадиона в левобережной зоне г. Ростова-на-Дону (вынос сетей газоснабжения)"
Номер опубликования: 6100201607250013
Дата опубликования: 25.07.2016
Страница №9 из 16:
Увеличить