Официальное опубликование правовых актов
ОФИЦИАЛЬНОЕ ОПУБЛИКОВАНИЕ
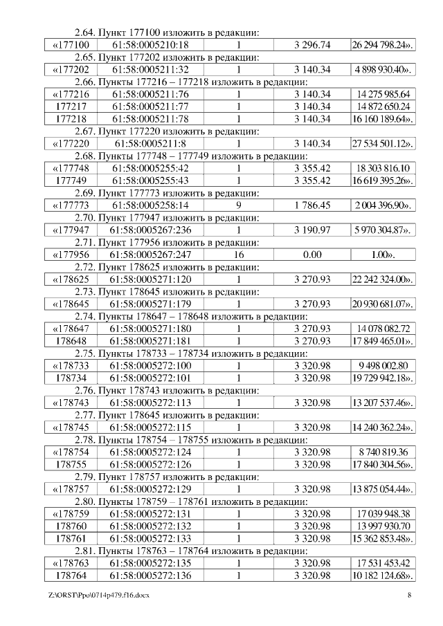
Постановление Правительства Ростовской области от 14.07.2016 № 479
"О внесении изменений в постановление Правительства Ростовской области от 25.11.2014 № 776"
Номер опубликования: 6100201607180002
Дата опубликования: 18.07.2016
Страница №8 из 15:
Увеличить