Постановление Правительства Ростовской области от 06.07.2016 № 468
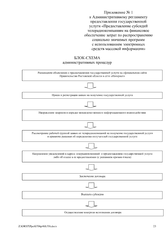
"Об утверждении Административного регламента предоставления государственной услуги "Предоставление субсидий телерадиокомпаниям на финансовое обеспечение затрат по распространению социально значимых программ с использованием электронных средств массовой информации"
"Об утверждении Административного регламента предоставления государственной услуги "Предоставление субсидий телерадиокомпаниям на финансовое обеспечение затрат по распространению социально значимых программ с использованием электронных средств массовой информации"
Номер опубликования: 6100201607120004
Дата опубликования:
12.07.2016
