Официальное опубликование правовых актов
ОФИЦИАЛЬНОЕ ОПУБЛИКОВАНИЕ
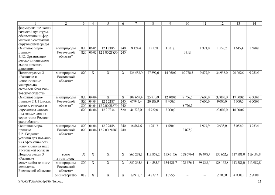
Постановление Правительства Ростовской области от 01.06.2016 № 386
"О внесении изменений в постановление Правительства Ростовской области от 25.09.2013 № 595"
Номер опубликования: 6100201606070010
Дата опубликования: 07.06.2016
Страница №22 из 100:
Увеличить