Официальное опубликование правовых актов
ОФИЦИАЛЬНОЕ ОПУБЛИКОВАНИЕ
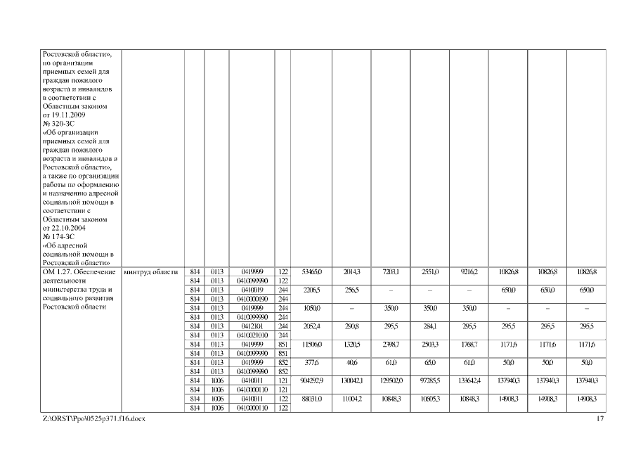
Постановление Правительства Ростовской области от 25.05.2016 № 371
"О внесении изменений в постановление Правительства Ростовской области от 25.09.2013 № 597"
Номер опубликования: 6100201605300003
Дата опубликования: 30.05.2016
Страница №17 из 47:
Увеличить