Официальное опубликование правовых актов
ОФИЦИАЛЬНОЕ ОПУБЛИКОВАНИЕ
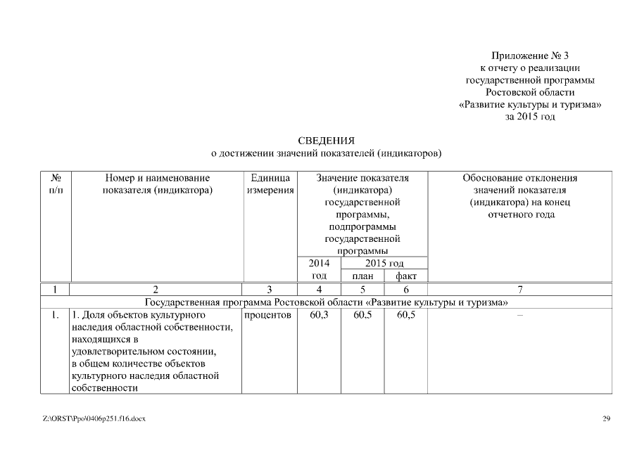
Постановление Правительства Ростовской области от 06.04.2016 № 251
"Об утверждении отчета о реализации государственной программы Ростовской области "Развитие культуры и туризма" за 2015 год"
Номер опубликования: 6100201604120009
Дата опубликования: 12.04.2016
Страница №29 из 49:
Увеличить