Официальное опубликование правовых актов
ОФИЦИАЛЬНОЕ ОПУБЛИКОВАНИЕ
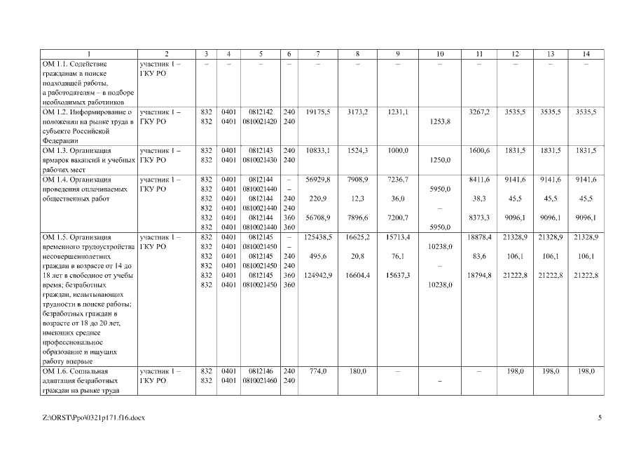
Постановление Правительства Ростовской области от 21.03.2016 № 171
"О внесении изменений в постановление Правительства Ростовской области от 25.09.2013 № 586"
Номер опубликования: 6100201603290011
Дата опубликования: 29.03.2016
Страница №5 из 10:
Увеличить