Официальное опубликование правовых актов
ОФИЦИАЛЬНОЕ ОПУБЛИКОВАНИЕ
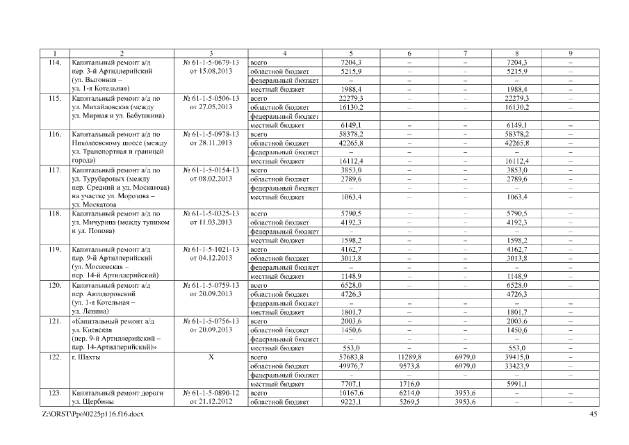
Постановление Правительства Ростовской области от 25.02.2016 № 116
"О внесении изменений в постановление Правительства Ростовской области от 25.09.2013 № 590"
Номер опубликования: 6100201602290009
Дата опубликования: 29.02.2016
Страница №45 из 78:
Увеличить