Официальное опубликование правовых актов
ОФИЦИАЛЬНОЕ ОПУБЛИКОВАНИЕ
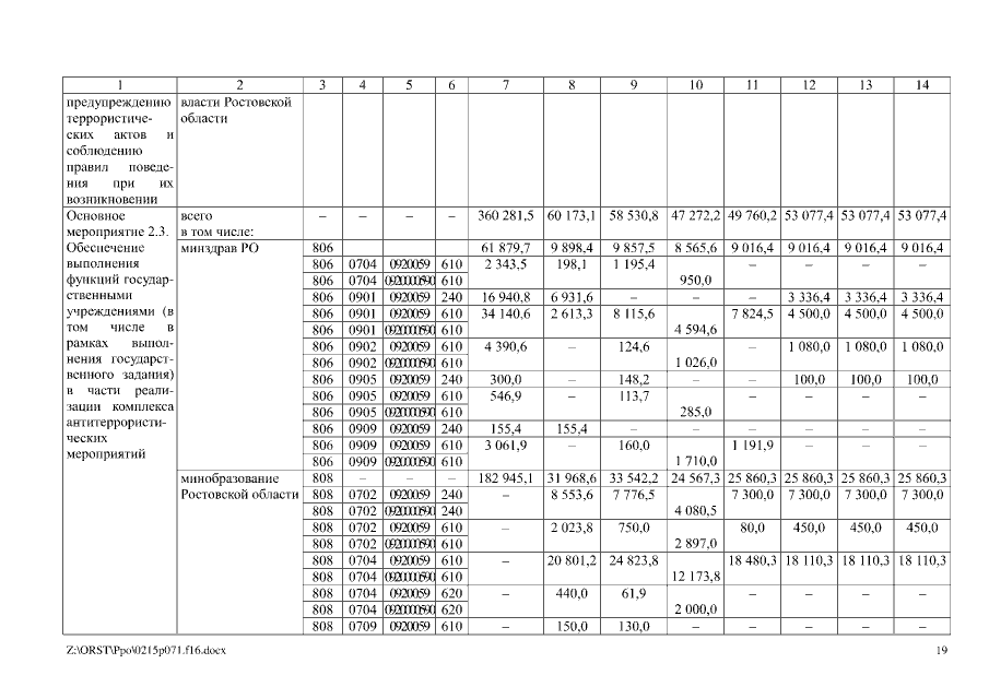
Постановление Правительства Ростовской области от 15.02.2016 № 71
"О внесении изменений в постановление Правительства Ростовской области от 25.09.2013 № 600"
Номер опубликования: 6100201602170021
Дата опубликования: 17.02.2016
Страница №19 из 31:
Увеличить