Официальное опубликование правовых актов
ОФИЦИАЛЬНОЕ ОПУБЛИКОВАНИЕ
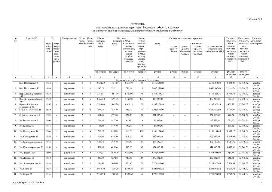
Постановление Правительства Ростовской области от 31.12.2015 № 232
"Об утверждении краткосрочного плана реализации региональной программы капитального ремонта общего имущества в многоквартирных домах на территории Ростовской области на 2014-2049 годы на 2016 год"
Номер опубликования: 6100201601080025
Дата опубликования: 08.01.2016
Страница №4 из 53:
Увеличить