Официальное опубликование правовых актов
ОФИЦИАЛЬНОЕ ОПУБЛИКОВАНИЕ
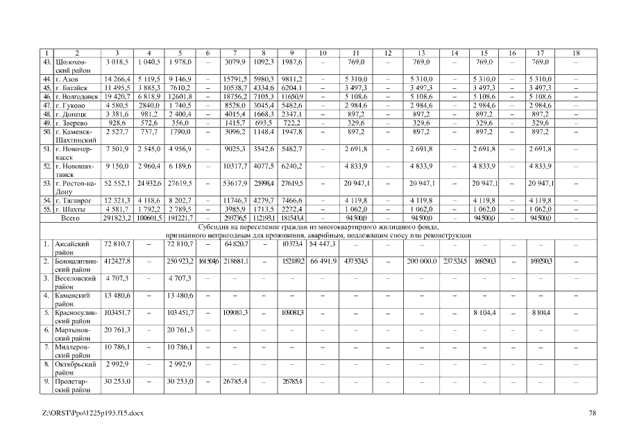
Постановление Правительства Ростовской области от 25.12.2015 № 193
"О внесении изменений в постановление Правительства Ростовской области от 25.09.2013 № 604"
Номер опубликования: 6100201512310001
Дата опубликования: 31.12.2015
Страница №78 из 85:
Увеличить