Официальное опубликование правовых актов
ОФИЦИАЛЬНОЕ ОПУБЛИКОВАНИЕ
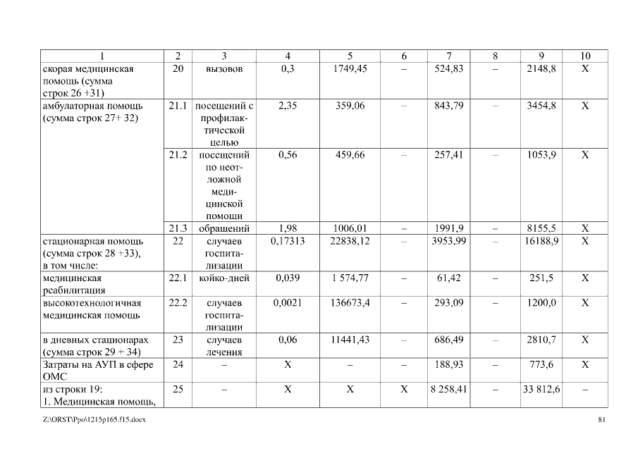
Постановление Правительства Ростовской области от 15.12.2015 № 165
"О Территориальной программе государственных гарантий бесплатного оказания гражданам медицинской помощи в Ростовской области на 2016 год"
Номер опубликования: 6100201512170001
Дата опубликования: 17.12.2015
Страница №81 из 86:
Увеличить