Официальное опубликование правовых актов
ОФИЦИАЛЬНОЕ ОПУБЛИКОВАНИЕ
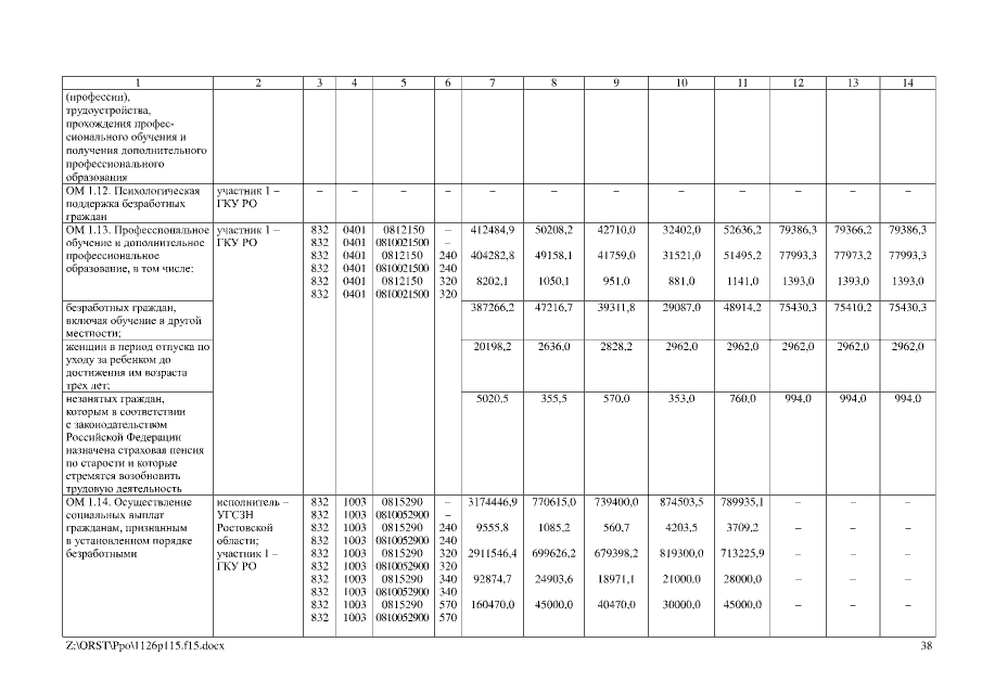
Постановление Правительства Ростовской области от 26.11.2015 № 115
"О внесении изменений в постановление Правительства Ростовской области от 25.09.2013 № 586"
Номер опубликования: 6100201512010007
Дата опубликования: 01.12.2015
Страница №38 из 49:
Увеличить