Официальное опубликование правовых актов
ОФИЦИАЛЬНОЕ ОПУБЛИКОВАНИЕ
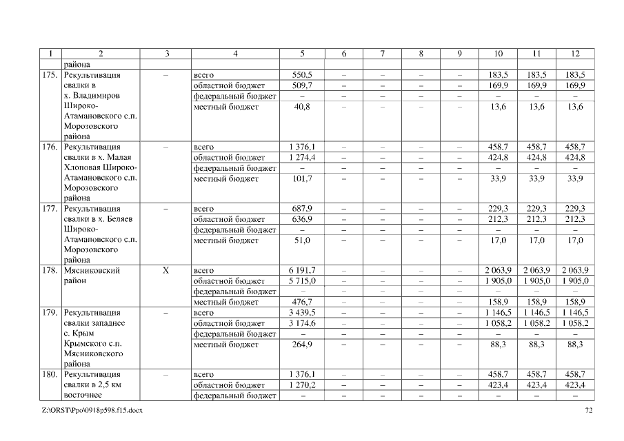
Постановление Правительства Ростовской области от 18.09.2015 № 598
"О внесении изменений в постановление Правительства Ростовской области от 25.09.2013 № 595"
Номер опубликования: 6100201509230022
Дата опубликования: 23.09.2015
Страница №72 из 79:
Увеличить