Официальное опубликование правовых актов
ОФИЦИАЛЬНОЕ ОПУБЛИКОВАНИЕ
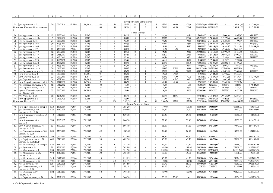
Постановление Правительства Ростовской области от 09.09.2015 № 570
"О внесении изменений в постановление Правительства Ростовской области от 18.04.2013 № 196"
Номер опубликования: 6100201509140006
Дата опубликования: 14.09.2015
Страница №20 из 97:
Увеличить