Официальное опубликование правовых актов
ОФИЦИАЛЬНОЕ ОПУБЛИКОВАНИЕ
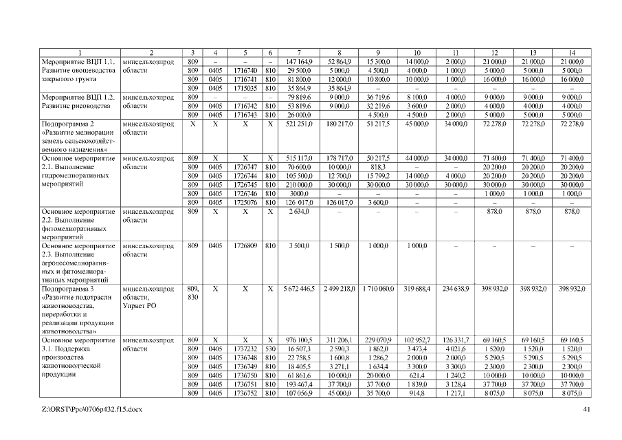
Постановление Правительства Ростовской области от 06.07.2015 № 432
"О внесении изменений в постановление Правительства Ростовской области от 25.09.2013 № 592"
Номер опубликования: 6100201507090011
Дата опубликования: 09.07.2015
Страница №41 из 51:
Увеличить