Официальное опубликование правовых актов
ОФИЦИАЛЬНОЕ ОПУБЛИКОВАНИЕ
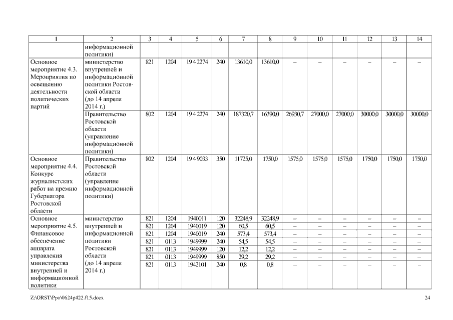
Постановление Правительства Ростовской области от 24.06.2015 № 422
"О внесении изменений в постановление Правительства Ростовской области от 25.09.2013 № 602"
Номер опубликования: 6100201506290002
Дата опубликования: 29.06.2015
Страница №24 из 37:
Увеличить