Официальное опубликование правовых актов
ОФИЦИАЛЬНОЕ ОПУБЛИКОВАНИЕ
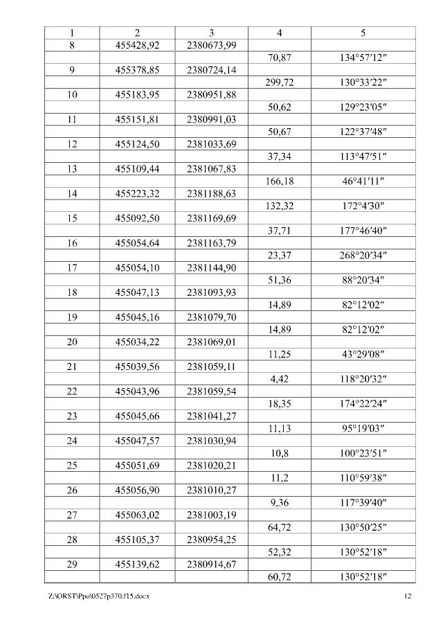
Постановление Правительства Ростовской области от 27.05.2015 № 370
"Об утверждении основной части проекта планировки территории размещения линейного объекта "Реконструкция автомобильной дороги общего пользования регионального значения – подъезд от автомобильной дороги "г. Ростов-на-Дону (от магистрали "Дон") – г. Семикаракорск – г. Волгодонск" к ст. Романовская в Волгодонском районе"
Номер опубликования: 6100201505290006
Дата опубликования: 29.05.2015
Страница №12 из 14:
Увеличить