Официальное опубликование правовых актов
ОФИЦИАЛЬНОЕ ОПУБЛИКОВАНИЕ
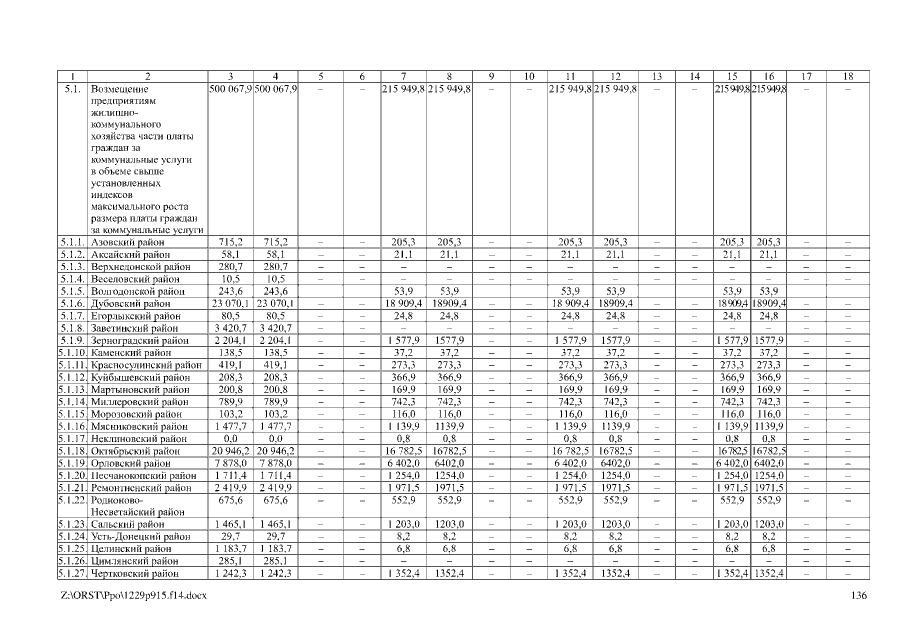
Постановление Правительства Ростовской области от 29.12.2014 № 915
"О внесении изменения в постановление Правительства Ростовской области от 25.09.2013 № 603"
Номер опубликования: 6100201501040030
Дата опубликования: 04.01.2015
Страница №136 из 197:
Увеличить