Официальное опубликование правовых актов
ОФИЦИАЛЬНОЕ ОПУБЛИКОВАНИЕ
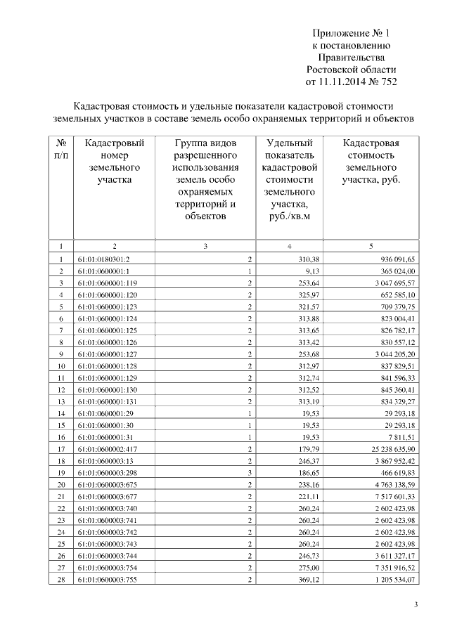
Постановление Правительства Ростовской области от 11.11.2014 № 752
"Об утверждении результатов определения кадастровой стоимости земельных участков в составе земель особо охраняемых территорий и объектов, расположенных на территории Ростовской области"
Номер опубликования: 6100201411140002
Дата опубликования: 14.11.2014
Страница №3 из 19:
Увеличить