Официальное опубликование правовых актов
ОФИЦИАЛЬНОЕ ОПУБЛИКОВАНИЕ
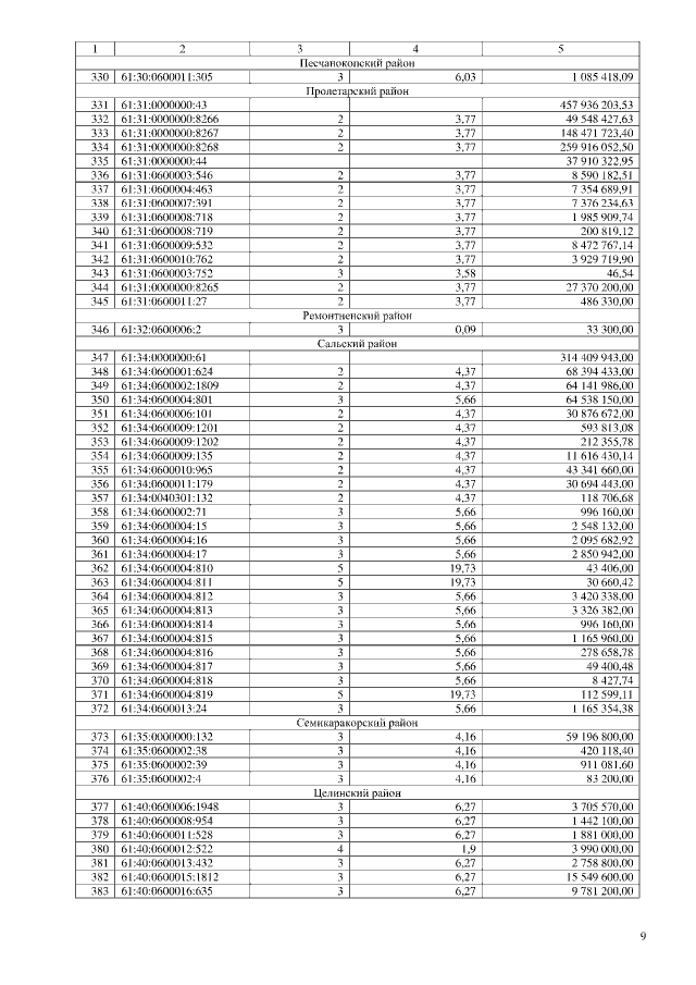
Постановление Правительства Ростовской области от 11.11.2014 № 751
"Об утверждении результатов определения кадастровой стоимости земельных участков в составе земель водного фонда, расположенных на территории Ростовской области"
Номер опубликования: 6100201411140001
Дата опубликования: 14.11.2014
Страница №9 из 13:
Увеличить