Официальное опубликование правовых актов
ОФИЦИАЛЬНОЕ ОПУБЛИКОВАНИЕ
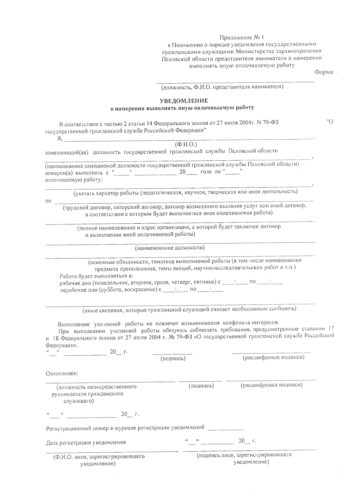
Приказ Министерства здравоохранения Псковской области от 19.01.2026 № 27
"Об утверждении Положения о порядке уведомления государственными гражданскими служащими Министерства здравоохранения Псковской области представителя нанимателя о намерении выполнять иную оплачиваемую работу"
(Зарегистрирован 20.01.2026 № 2838)
Номер опубликования: 6001202601220001
Дата опубликования: 22.01.2026
Страница №6 из 7:
Увеличить