Официальное опубликование правовых актов
ОФИЦИАЛЬНОЕ ОПУБЛИКОВАНИЕ
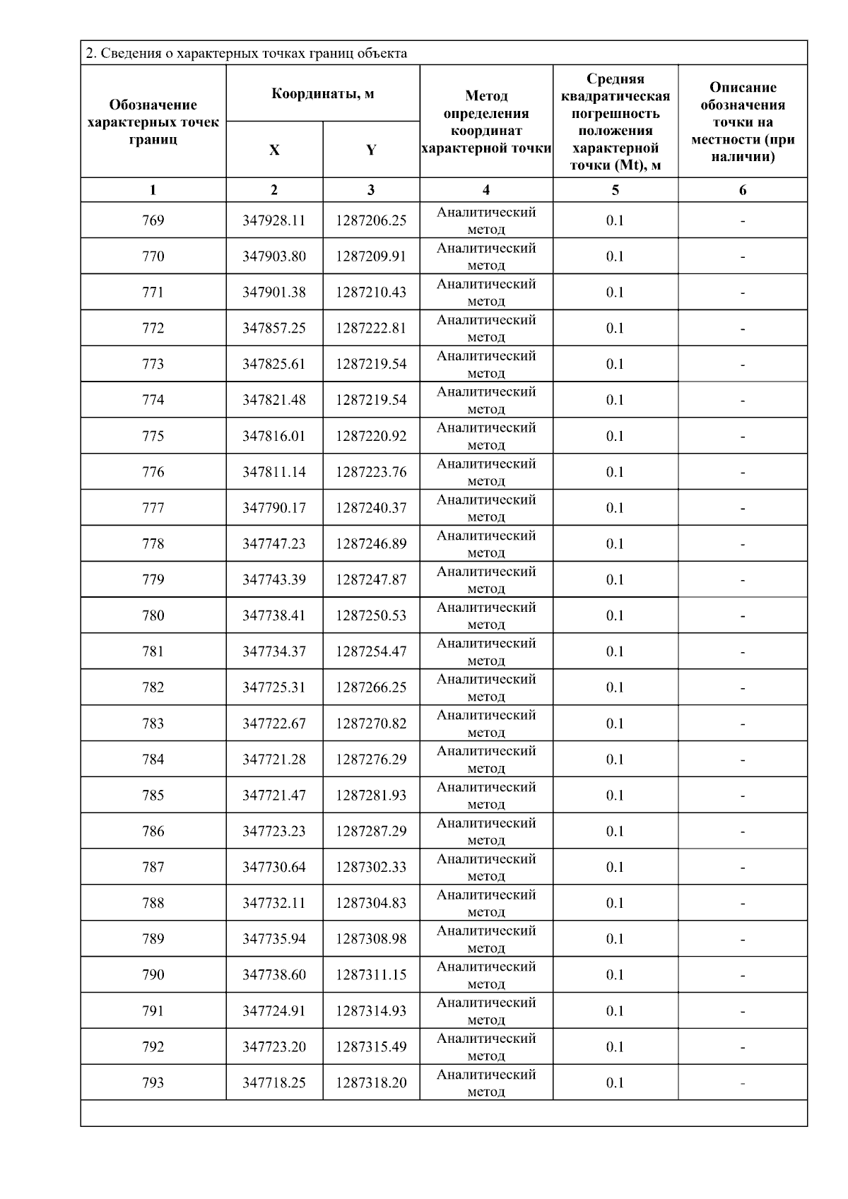
Приказ Министерства имущественных отношений Псковской области от 26.12.2025 № 4583
"О внесении изменений в Правила землепользования и застройки сельского поселения "Себежское" Себежского района Псковской области"
(Зарегистрирован 29.12.2025 № 2803)
Номер опубликования: 6001202601030009
Дата опубликования: 03.01.2026
Страница №173 из 3037:
Увеличить