Официальное опубликование правовых актов
ОФИЦИАЛЬНОЕ ОПУБЛИКОВАНИЕ
Приказ Министерства тарифов и энергетики Псковской области от 17.12.2025 № 259-т
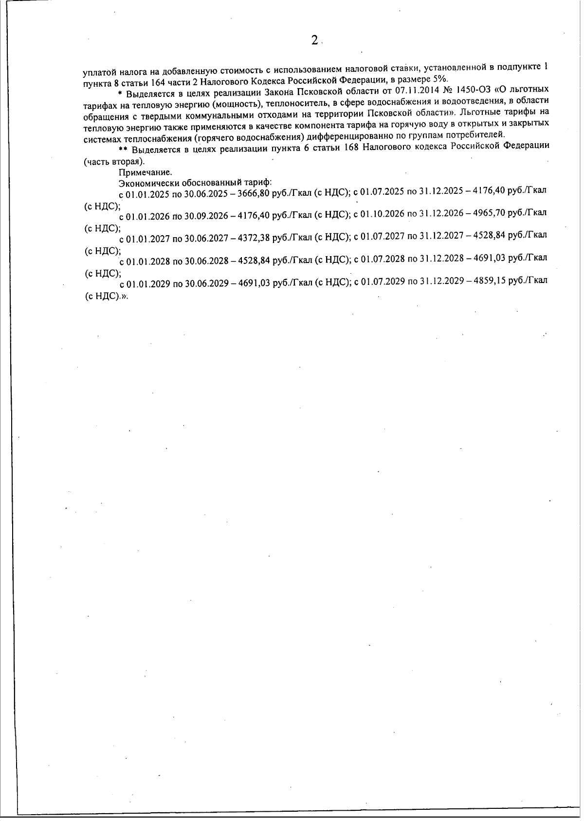
"О внесении изменений в приказ Комитета по тарифам и энергетике Псковской области от 18.12.2024 № 240-т "Об установлении тарифов на тепловую энергию (мощность), поставляемую МУНИЦИПАЛЬНЫМ УНИТАРНЫМ ПРЕДПРИЯТИЕМ "ДНОВСКАЯ ТЕПЛОСНАБЖАЮЩАЯ ОРГАНИЗАЦИЯ" потребителям, на 2025-2029 годы"
(Зарегистрирован 18.12.2025 № 2691)
Номер опубликования: 6001202512220086
Дата опубликования: 22.12.2025
Страница №5 из 7:
Увеличить