Официальное опубликование правовых актов
ОФИЦИАЛЬНОЕ ОПУБЛИКОВАНИЕ
Приказ Министерства тарифов и энергетики Псковской области от 04.12.2025 № 115-в
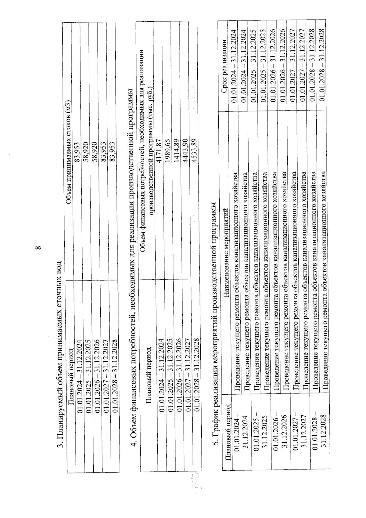
"О внесении изменений в приказ Комитета по тарифам и энергетике Псковской области от 21.11.2023 № 92-в "Об утверждении производственных программ, установлении долгосрочных параметров регулирования и тарифов в сфере холодного водоснабжения и водоотведения для муниципального унитарного предприятия "Гдовпроект" на 2024 - 2028 годы"
(Зарегистрирован 04.12.2025 № 2541)
Номер опубликования: 6001202512080025
Дата опубликования: 08.12.2025
Страница №10 из 16:
Увеличить