Официальное опубликование правовых актов
ОФИЦИАЛЬНОЕ ОПУБЛИКОВАНИЕ
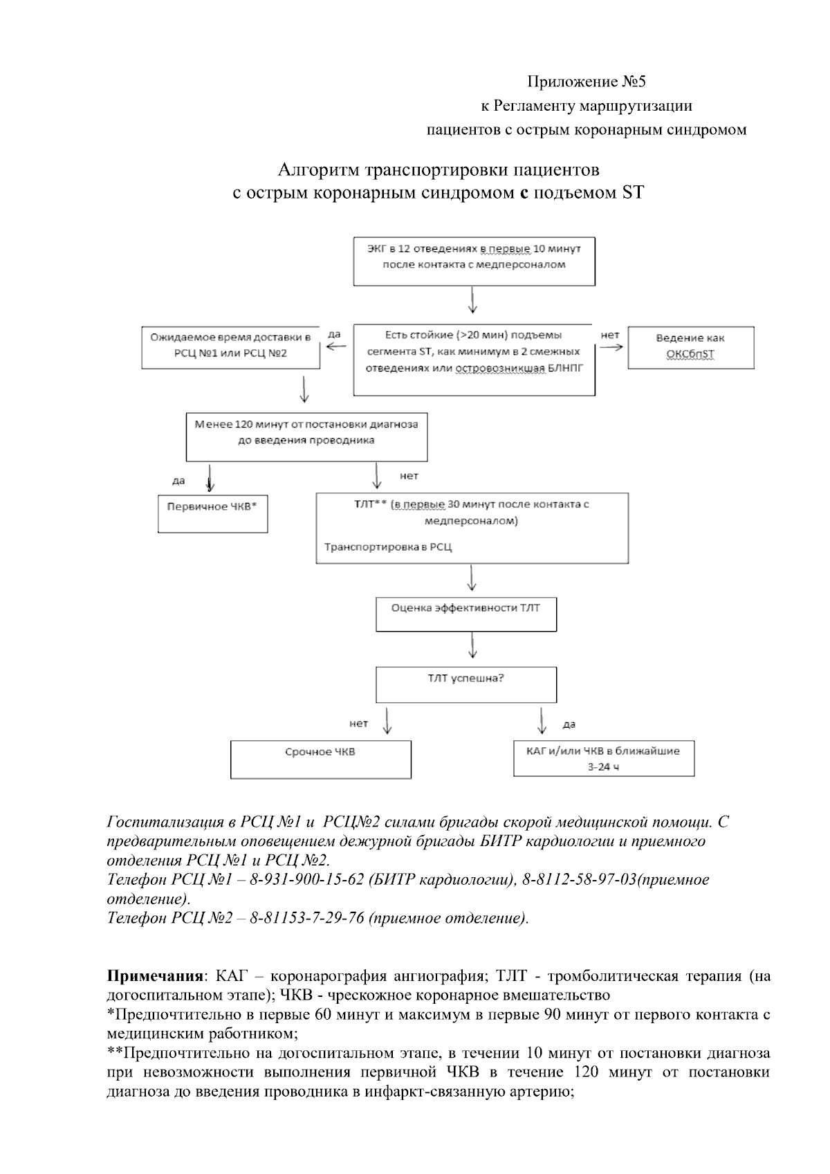
Приказ Министерства здравоохранения Псковской области от 31.10.2025 № 1037
"Об утверждении маршрутизации пациентов с заболеваниями сердечно-сосудистой системы на территории Псковской области"
(Зарегистрирован 06.11.2025 № 2453)
Номер опубликования: 6001202511120006
Дата опубликования: 12.11.2025
Страница №18 из 105:
Увеличить