Официальное опубликование правовых актов
ОФИЦИАЛЬНОЕ ОПУБЛИКОВАНИЕ
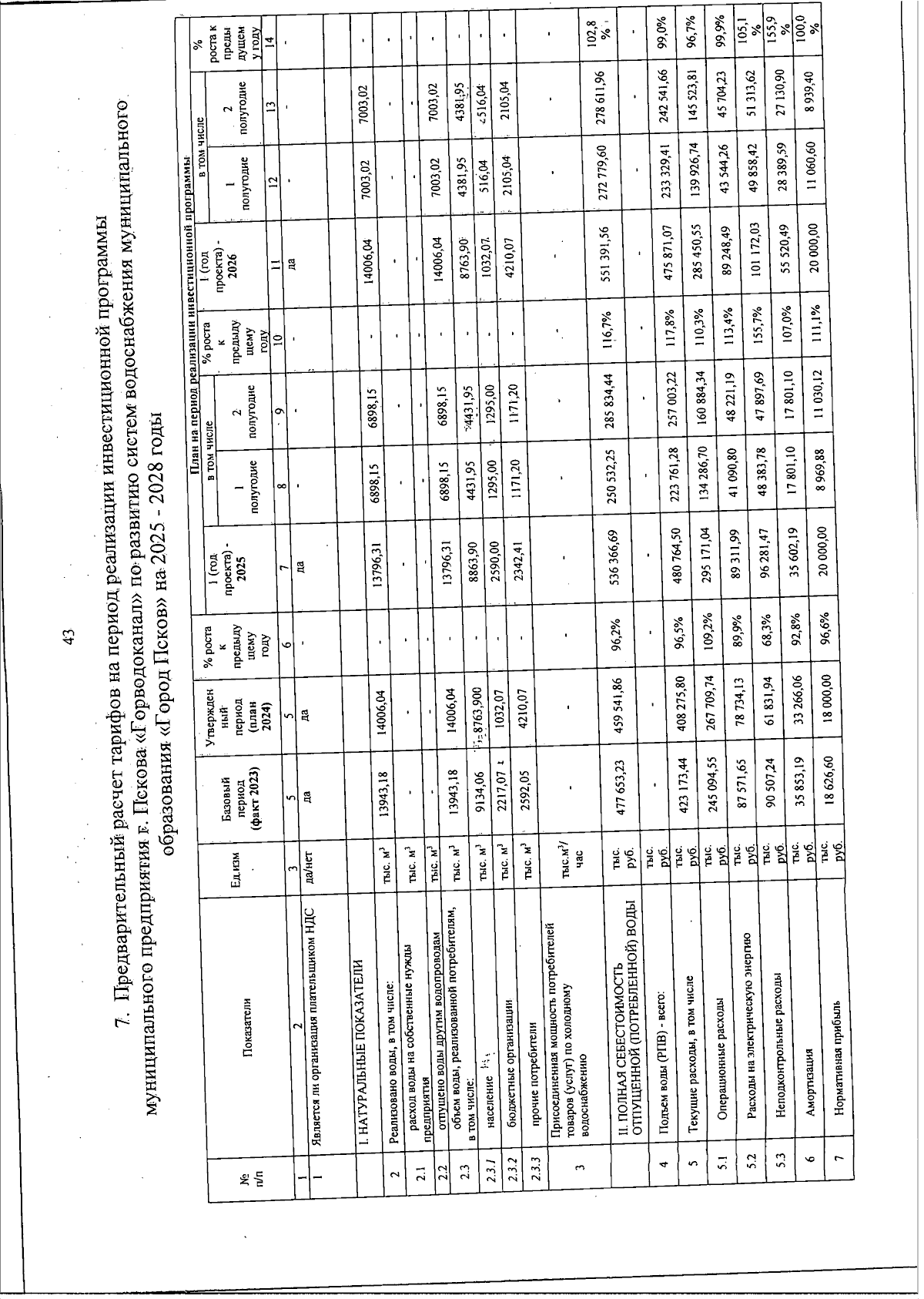
Приказ Министерства тарифов и энергетики Псковской области от 30.10.2025 № 38
"О внесении изменений в инвестиционную программу муниципального предприятия г. Пскова "Горводоканал" по развитию систем водоснабжения муниципального образования "Город Псков" на 2025 - 2028 годы"
(Зарегистрирован 31.10.2025 № 2444)
Номер опубликования: 6001202511060001
Дата опубликования: 06.11.2025
Страница №45 из 56:
Увеличить