Официальное опубликование правовых актов
ОФИЦИАЛЬНОЕ ОПУБЛИКОВАНИЕ
Приказ Министерства здравоохранения Псковской области от 15.09.2025 № 873
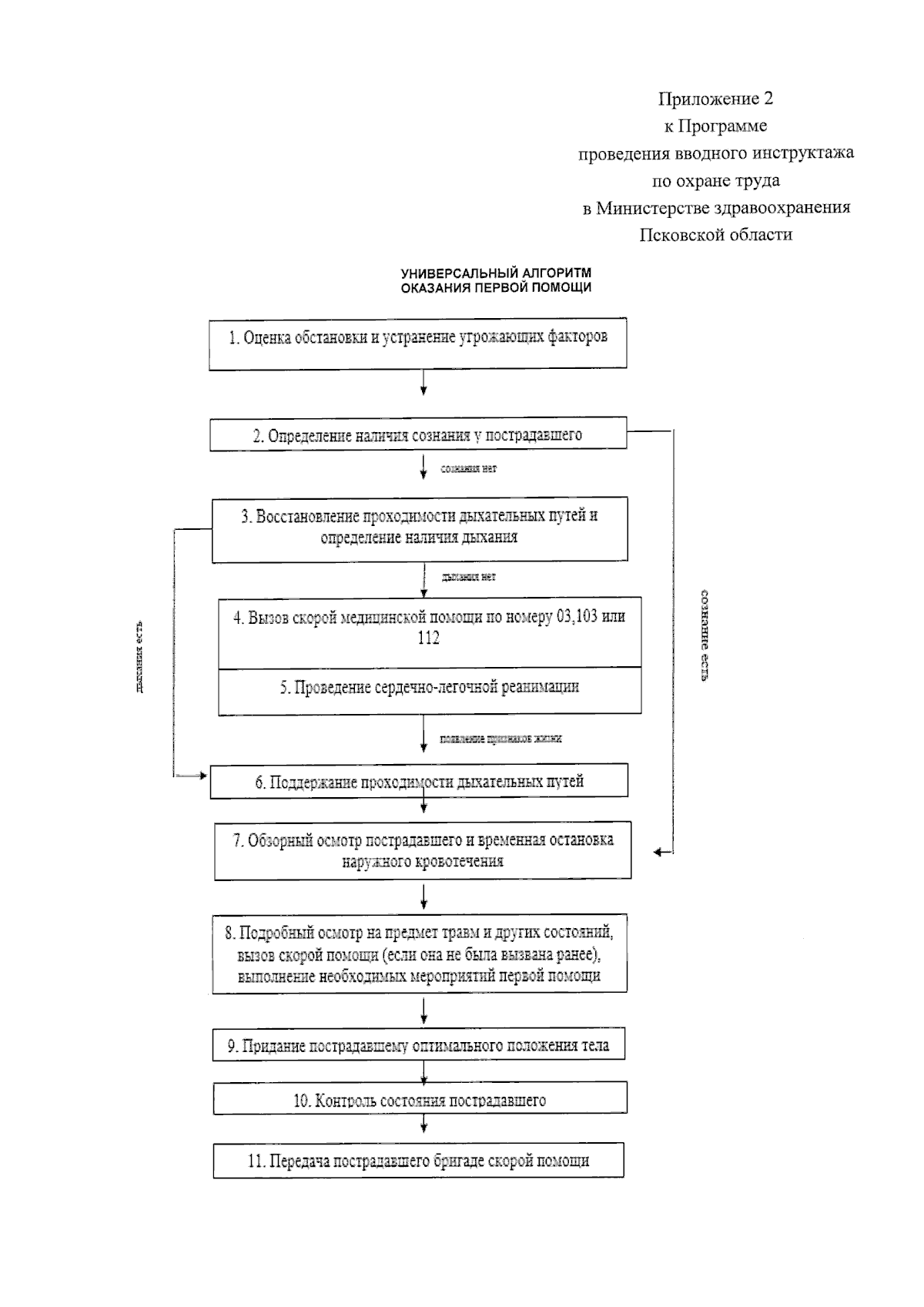
"Об утверждении Положения о системе управления охраной труда в Министерстве здравоохранения Псковской области, Правил по охране труда в Министерстве здравоохранения Псковской области, Инструкции по охране труда для государственных гражданских служащих Министерства здравоохранения Псковской области и работников Министерства здравоохранения Псковской области, не относящихся к должностям государственной гражданской службы в Министерстве здравоохранения Псковской области, Программы проведения вводного инструктажа по охране труда в Министерстве здравоохранения Псковской области"
(Зарегистрирован 17.09.2025 № 2357)
Номер опубликования: 6001202509190005
Дата опубликования: 19.09.2025
Страница №40 из 40:
Увеличить