Официальное опубликование правовых актов
ОФИЦИАЛЬНОЕ ОПУБЛИКОВАНИЕ
Приказ Комитета по охране объектов культурного наследия Псковской области от 13.05.2025 № 332
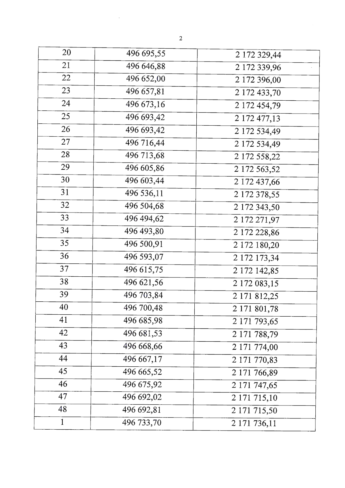
"Об утверждении границ территории объекта культурного наследия регионального значения "Дворцовый ансамбль князя Дондукова–Корсакова", XIX в., расположенного по адресу: Псковская область, Порховский район, Полонская волость, д. Полоное, ул. Аудрини, д. 28, 29"
(Зарегистрирован 13.05.2025 № 2104)
Номер опубликования: 6001202505220008
Дата опубликования: 22.05.2025
Страница №9 из 12:
Увеличить