Официальное опубликование правовых актов
ОФИЦИАЛЬНОЕ ОПУБЛИКОВАНИЕ
Приказ Комитета по тарифам и энергетике Псковской области от 27.12.2024 № 361-в
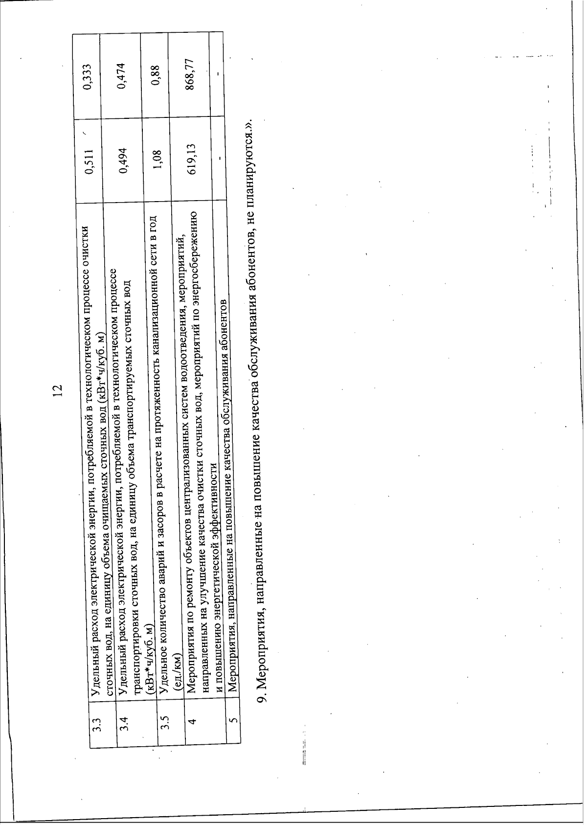
"О внесении изменений в приказ Комитета по тарифам и энергетике Псковской области от 21.11.2023 № 101-в "Об утверждении производственных программ, установлении долгосрочных параметров регулирования и тарифов в сфере холодного водоснабжения и водоотведения для муниципального производственного водопроводно-канализационного предприятия муниципального образования "Порховский район" на 2024 - 2028 годы"
(Зарегистрирован 27.12.2024 № 1768)
Номер опубликования: 6001202412290012
Дата опубликования: 29.12.2024
Страница №16 из 24:
Увеличить