Официальное опубликование правовых актов
ОФИЦИАЛЬНОЕ ОПУБЛИКОВАНИЕ
Приказ Комитета по тарифам и энергетике Псковской области от 27.12.2024 № 347-в
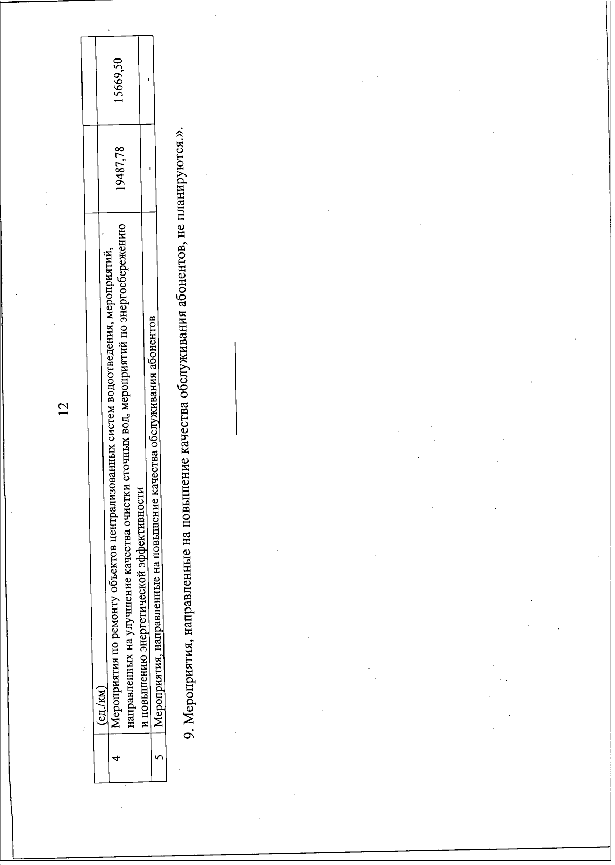
"О внесении изменений в приказ Комитета по тарифам и энергетике Псковской области от 20.12.2023 № 248-в "Об утверждении производственных программ, установлении долгосрочных параметров регулирования и тарифов в сфере холодного водоснабжения и водоотведения для муниципального предприятия г. Пскова "Горводоканал" на 2024 - 2028 годы"
(Зарегистрирован 27.12.2024 № 1754)
Номер опубликования: 6001202412290010
Дата опубликования: 29.12.2024
Страница №14 из 22:
Увеличить