Официальное опубликование правовых актов
ОФИЦИАЛЬНОЕ ОПУБЛИКОВАНИЕ
Приказ Комитета по тарифам и энергетике Псковской области от 10.12.2024 № 130-в
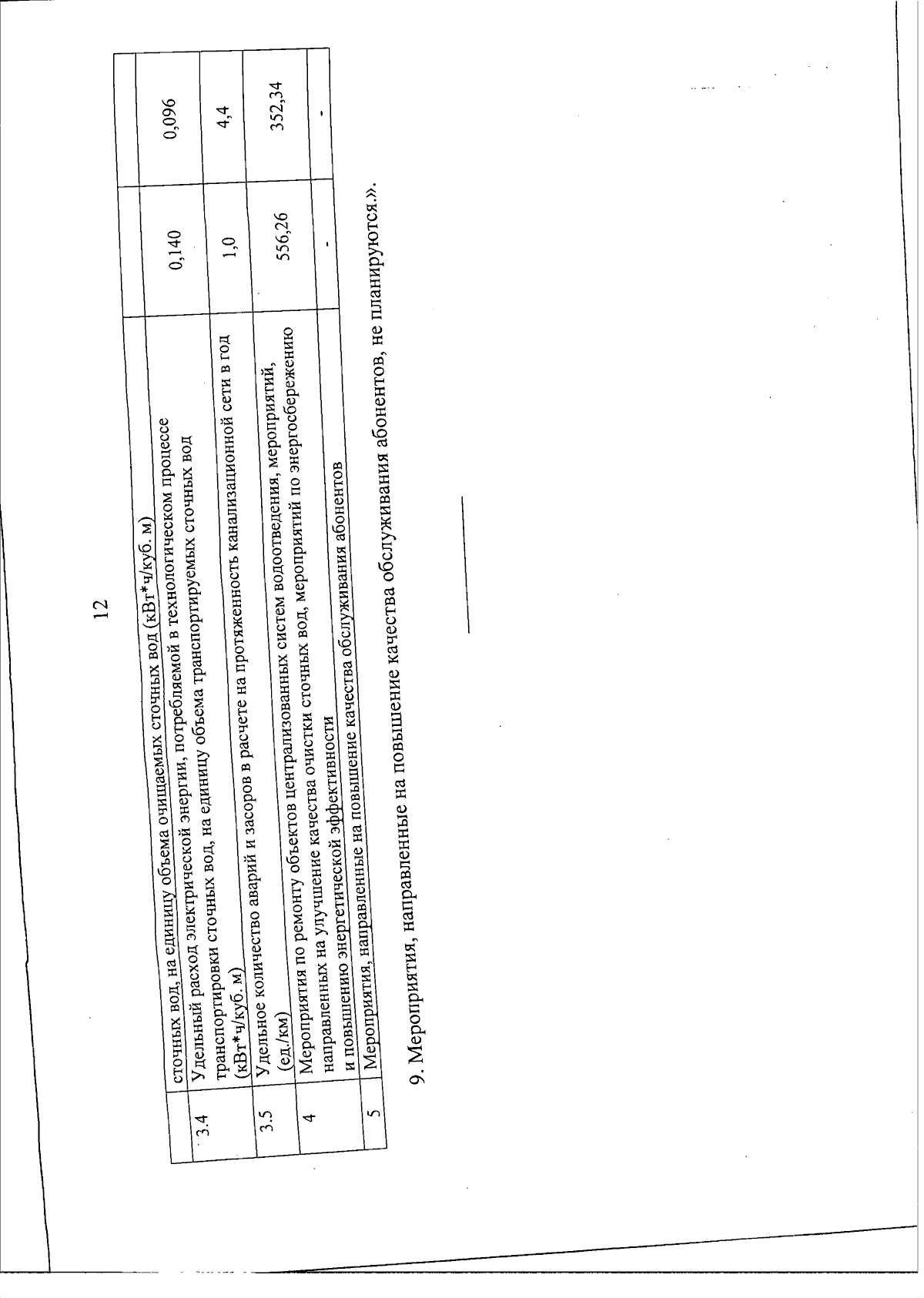
"О внесении изменений в приказ Комитета по тарифам и энергетике Псковской области от 21.11.2023 № 95-в "Об утверждении производственных программ, установлении долгосрочных параметров регулирования и тарифов в сфере холодного водоснабжения и водоотведения для муниципального унитарного предприятия "Дновские коммунальные услуги" на 2024 - 2028 годы"
(Зарегистрирован 10.12.2024 № 1480)
Номер опубликования: 6001202412180112
Дата опубликования: 18.12.2024
Страница №14 из 16:
Увеличить