Официальное опубликование правовых актов
ОФИЦИАЛЬНОЕ ОПУБЛИКОВАНИЕ
Приказ Комитета по природным ресурсам и экологии Псковской области от 05.02.2024 № 44
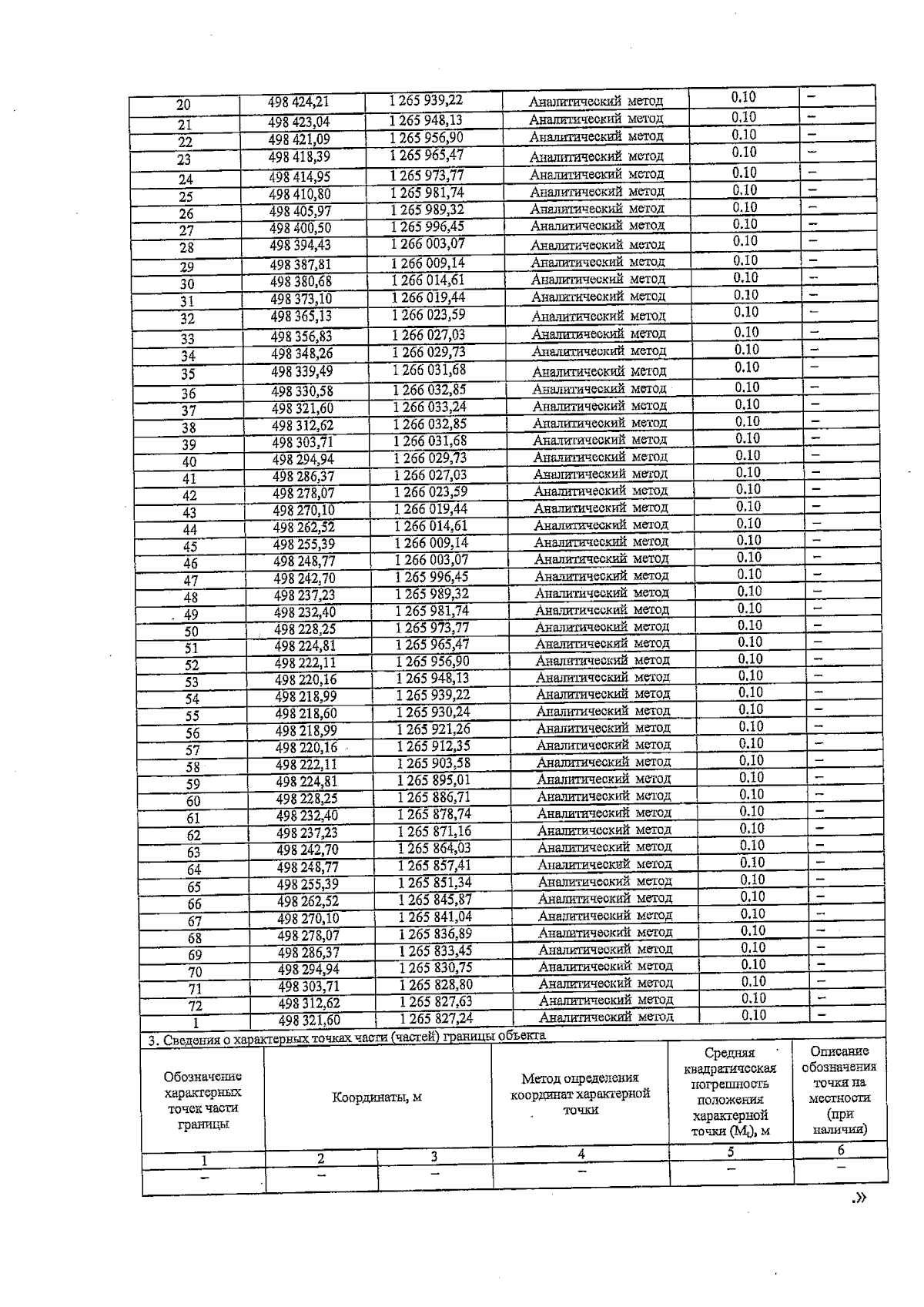
"О внесении изменений в приложение к приказу Государственного комитета Псковской области по природопользованию и охране окружающей среды от 05.11.2014 № 912 "Об утверждении Проекта зон санитарной охраны скважин водозабора федерального государственного казенного учреждения "Войсковая часть 49911", расположенного в 0,5 км южнее д. Дурково Псковского района Псковской области"
(Зарегистрирован 07.02.2024 № 892)
Номер опубликования: 6001202402120002
Дата опубликования: 12.02.2024
Страница №8 из 9:
Увеличить