Официальное опубликование правовых актов
ОФИЦИАЛЬНОЕ ОПУБЛИКОВАНИЕ
Приказ Комитета по тарифам и энергетике Псковской области от 12.12.2023 № 190-в
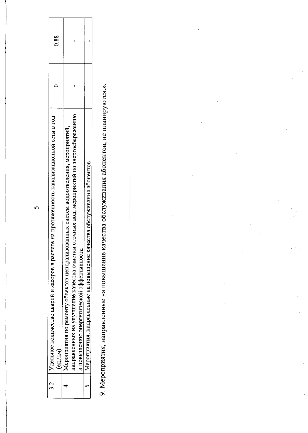
"О внесении изменений в приказ Комитета по тарифам и энергетике Псковской области от 22.11.2022 № 144-в "Об утверждении производственной программы, установлении долгосрочных параметров регулирования и тарифов в сфере водоотведения для общества с ограниченной ответственностью "Псковские коллекторные сети" на 2023 - 2027 гг."
(Зарегистрирован 13.12.2023 № 726)
Номер опубликования: 6001202312150011
Дата опубликования: 15.12.2023
Страница №7 из 10:
Увеличить