Официальное опубликование правовых актов
ОФИЦИАЛЬНОЕ ОПУБЛИКОВАНИЕ
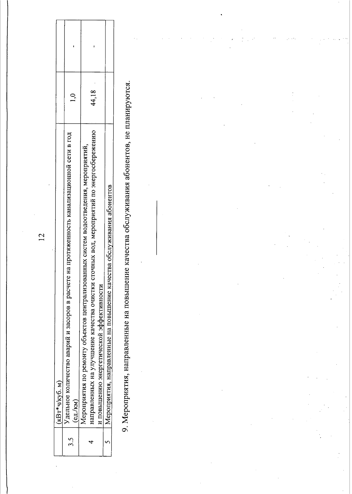
Приказ Комитета по тарифам и энергетике Псковской области от 28.11.2023 № 135-в
"Об утверждении производственных программ, установлении долгосрочных параметров регулирования и тарифов в сфере холодного водоснабжения и водоотведения для федерального казенного учреждения "Исправительная колония № 4 Управления Федеральной службы исполнения наказаний по Псковской области" на 2024 - 2028 годы"
(Зарегистрирован 04.12.2023 № 687)
Номер опубликования: 6001202312070021
Дата опубликования: 07.12.2023
Страница №14 из 17:
Увеличить