Официальное опубликование правовых актов
ОФИЦИАЛЬНОЕ ОПУБЛИКОВАНИЕ
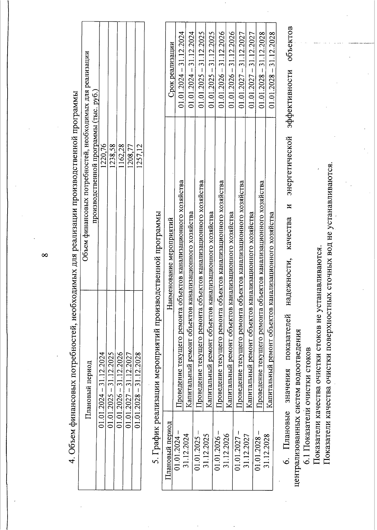
Приказ Комитета по тарифам и энергетике Псковской области от 28.11.2023 № 130-в
"Об утверждении производственных программ, установлении долгосрочных параметров регулирования и тарифов в сфере холодного водоснабжения и водоотведения для муниципального предприятия Новоржевского района "Энергоресурс" на 2024 - 2028 годы"
(Зарегистрирован 04.12.2023 № 682)
Номер опубликования: 6001202312070009
Дата опубликования: 07.12.2023
Страница №10 из 19:
Увеличить