Официальное опубликование правовых актов
ОФИЦИАЛЬНОЕ ОПУБЛИКОВАНИЕ
Приказ Комитета по тарифам и энергетике Псковской области от 28.11.2023 № 127-в
"Об утверждении производственных программ, установлении долгосрочных параметров регулирования и тарифов в сфере холодного водоснабжения и водоотведения для муниципального унитарного предприятия "Локнянское жилищно-коммунальное хозяйство" муниципального образования "Локнянский район" на 2024 - 2028 годы"
(Зарегистрирован 04.12.2023 № 679)
Номер опубликования: 6001202312070004
Дата опубликования: 07.12.2023
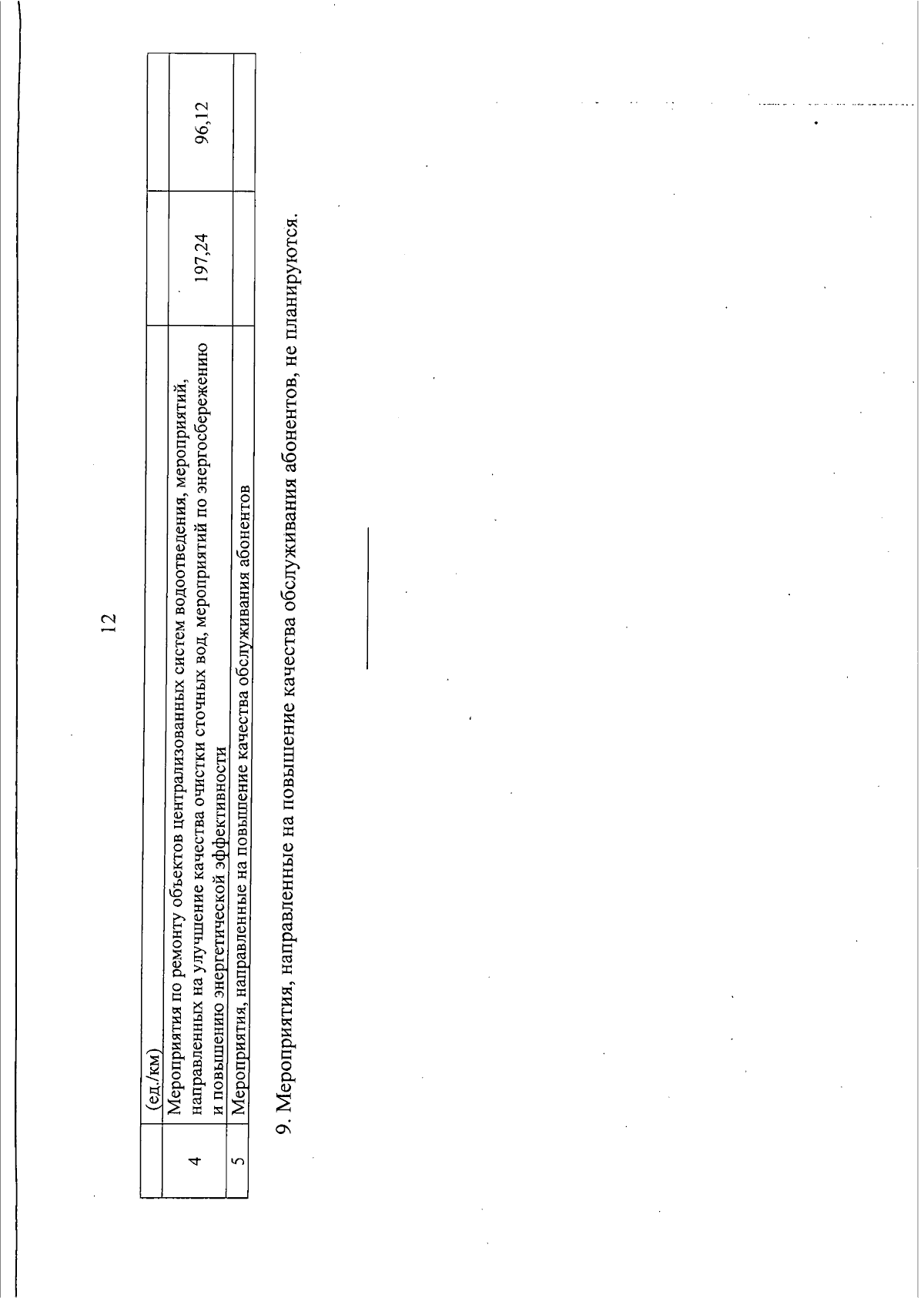
Страница №14 из 21:
Увеличить