Официальное опубликование правовых актов
ОФИЦИАЛЬНОЕ ОПУБЛИКОВАНИЕ
Приказ Комитета по охране объектов культурного наследия Псковской области от 29.11.2022 № 932
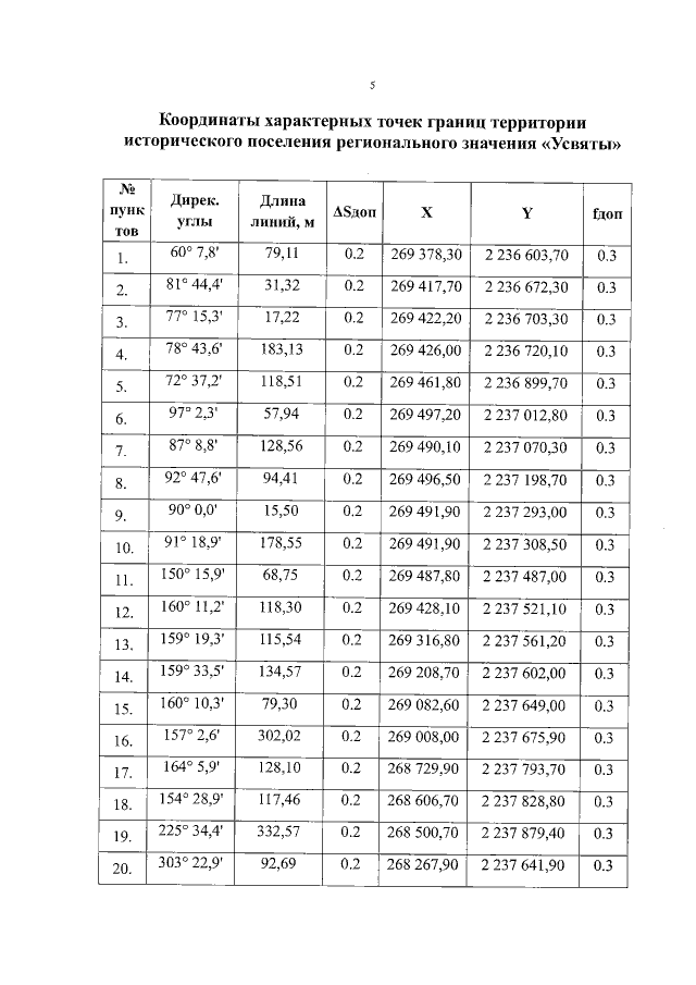
"Об утверждении предмета охраны, границ территории и требований к градостроительным регламентам в границах территории исторического поселения регионального значения "Усвяты"
Номер опубликования: 6001202212060009
Дата опубликования: 06.12.2022
Страница №7 из 77:
Увеличить